近日,乐鱼官网首页入口微尺度物质科学国家研究中心、物理学院、中科院强耦合量子材料物理重点实验室陈仙辉院士、项子霁教授研究团队在氧化物界面超导研究中取得重大进展。研究团队与清华大学、复旦大学的研究组合作,在铁磁性EuO和(110)取向的KTaO3(KTO)构成的氧化物异质结当中发现由铁磁近邻效应导致的具有特殊空间变化的超导态,即一维结构的超导条纹。这一结果为探索磁性和超导电性共存的非常规超导体系及其物理研究提供了新的途径。相关研究成果于3月11日以“Superconducting stripes induced by ferromagnetic proximity in an oxide heterostructure”为题发表在《Nature Physics》。
目前学术界普遍认为非常规超导配对的形成与磁性密切相关,特别是在铜氧化物和铁基高温超导体当中,超导电性在相图中都发生在磁有序态的附近,研究超导与磁性之间的相互作用并理解由此产生的非常规超导态是凝聚态物理的重要前沿方向之一。磁性涨落被认为是产生非常规高温超导电性的关键因素,同时超导与磁性的相互作用也会导致具有特殊空间调制的超导态,如在铜氧化物高温超导体La1.875Ba0.125CuO4中,由于与空间调制的自旋-电荷条纹序的相互作用,超导态表现出一种不同寻常的维度降低行为:铜氧平面内二维超导相出现的温度显著高于三维全局超导相形成的温度(Phys. Rev. Lett.99, 067001 (2007))。这种层间解耦现象的出现被认为源于一种特殊的超导态即配对密度波态的形成,它具有空间振荡的超导序参量和有限动量配对。由于界面系统相比于单晶具有易于调控的优势,包含磁性结构单元的超导氧化物异质结成为研究上述奇特超导态及其物理规律的一类理想体系。
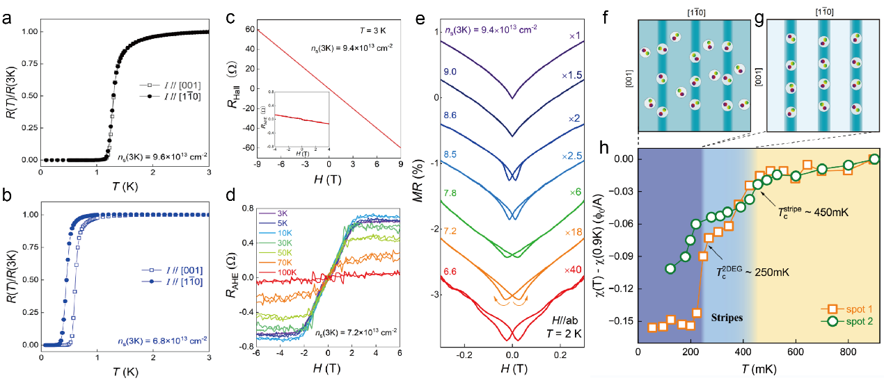
近年来,陈仙辉院士团队应用分子束外延(MBE)技术成功生长了由铁磁绝缘氧化物EuO和绝缘氧化物KTaO3构成的EuO/KTO(110)异质结,并在前期工作中发现了受电场调控的二维界面超导(npj Quantum Mater.7, 97 (2022));在此基础上,研究团队进一步通过调节界面二维电子气载流子浓度对该体系的超导电性及其与铁磁近邻效应的关联进行了系统研究,并与清华大学、复旦大学的研究团队合作进行了第一性原理计算和基于扫描超导量子干涉仪(Scanning-SQUID)的高精度磁测量。电输运测量结果表明在低载流子浓度的样品中,界面超导表现出反常的面内各向异性:沿面内[001]方向施加电流时,超导转变温度和上临界场都明显高于沿面内垂直方向([1-10])施加电流的情况;这种超导态的各向异性行为在高载流子浓度的样品中消失。超导转变温度与电流方向相关的现象极为罕见,它表明异质结界面发生了超导态维度降低的效应,即在二维平面内形成了沿[001]方向的一维超导条纹。ScanningSQUID成像实验进一步支持了超导条纹相形成的结论。同时,正常态电输运测量发现只有低载流子浓度的样品表现出反常霍尔效应和磁阻回滞行为,表明界面传导电子与EuO铁磁性的耦合受到能带填充的显著影响;第一性原理计算结果表明Eu原子4f轨道与Ta原子5d轨道的杂化效应在特定的能量范围内导致能带产生自旋劈裂,与上述实验结果相符。因此,EuO/KTO(110)异质结中奇特的一维超导条纹的出现被证明源于超导电性与磁性的耦合效应。

图1. EuO/KTO(110)界面受能带填充调控的面内超导各向异性和铁磁近邻效应
以上结果揭示了EuO/KTO(110)界面存在由铁磁层近邻效应诱导的超导条纹相,提供了氧化物界面中由于超导电性与磁性耦合导致的奇异超导态的第一个明确实验证据。对该条纹相的深入研究将有助于人们理解非常规高温超导体等超导与磁性共存体系中复杂物理现象及新物态的产生机制。审稿人对该工作给出了高度评价,认为一维超导条纹相的确认是一个“革命性”的成果,并将在广阔的物理学领域产生影响。
乐鱼官网首页入口微尺度物质科学国家研究中心的博士研究生华翔宇为文章的第一作者,项子霁教授和陈仙辉教授为文章的共同通讯作者。清华大学刘铮教授团队和翁征宇教授为本工作提供了第一性原理计算支持。复旦大学王熠华教授团队为本工作提供了ScanningSQUID表征。相关工作得到了科技部、国家自然科学基金委、中国科学院、安徽省引导项目以及校创新团队项目的资助,部分实验在乐鱼官网首页入口理化科学实验中心完成。
文章链接:https://www.nature.com/articles/s41567-024-02443-x
(合肥微尺度物质科学国家研究中心、物理学院、科研部)